LA HPF 20 dB
2. Prinsip Kerja
[Kembali]
High Pass Filter (HPF) dengan karakteristik +20 dB per dekade memiliki prinsip kerja yang dapat dijelaskan sebagai berikut:
1. Frekuensi Potong (Cutoff Frequency): HPF +20 dB memiliki frekuensi potong yang menandai batas antara frekuensi yang diizinkan melewati filter dengan sedikit atau tanpa penurunan amplitudo, dan frekuensi yang dihambat dengan peningkatan amplitudo yang lebih signifikan. Frekuensi potong adalah titik di mana respons amplitudo naik sebanyak 20 dB per dekade.
2. Peningkatan Amplitudo: Setelah melewati frekuensi potong, amplitudo sinyal akan meningkat sebanyak 20 dB untuk setiap faktor 10 peningkatan frekuensi. Ini berarti jika frekuensi sinyal adalah sepuluh kali lipat dari frekuensi potong, amplitudo sinyal tersebut akan meningkat sebanyak 20 dB. Jika frekuensi sinyal adalah seratus kali lipat dari frekuensi potong, amplitudo akan meningkat sebanyak 40 dB, dan seterusnya.
3. Komponen Pasif (Resistor, Kapasitor): HPF +20 dB juga sering menggunakan resistor dan kapasitor sebagai komponen utama. Kapasitor menyediakan jalur tembus bagi sinyal frekuensi tinggi, sementara memberikan hambatan yang lebih besar terhadap sinyal frekuensi rendah.
4. Filter Butterworth atau Jenis Filter Lainnya: Filter Butterworth atau jenis filter lainnya dapat digunakan untuk merancang HPF +20 dB. Filter ini memberikan karakteristik tertentu dalam hal puncak overshoot, flatness di daerah transisi, atau kecepatan peningkatan amplitudo.
5. Grafik Amplitudo vs. Frekuensi: Respons amplitudo diplot pada grafik logaritmik terhadap skala frekuensi akan menunjukkan kemiringan sebesar +20 dB per dekade setelah melewati frekuensi potong.
Rangkaian HPF +20 dB umumnya digunakan dalam aplikasi di mana perlu menyorot atau meningkatkan komponen frekuensi tinggi dari sinyal dan memblokir komponen frekuensi rendah. Contoh penggunaannya dapat termasuk dalam pemrosesan sinyal audio atau aplikasi lain di mana diperlukan peningkatan respons frekuensi tinggi.
4. Analisa
[Kembali]
1. Analisa prinsip kerja dari HPF 20 db berdasarkan tegangan input, ouput, frekuensi cutt-of, dan gelombang hasil percobaan
Jawab:
Tegangan Input (Vin):
Tegangan input (Vin) yang dialirkan dari sinyal generator adalah sinyal yang ingin difilter atau disaring oleh HPF. Tegangan input dapat berupa gelombang sinusoidal atau sinyal lainnya dengan berbagai frekuensi.Tegangan Output (Vout):
Tegangan output (Vout) adalah sinyal yang dikeluarkan oleh HPF setelah proses penyaringan. Pada frekuensi di atas Fc, Vout akan mirip dengan Vin (dengan sedikit perubahan fase), sedangkan pada frekuensi di bawah Fc, Vout akan mengalami penurunan amplitudo yang lebih besar.Frekuensi Cut-off (Fc):Frekuensi cut-off adalah frekuensi di mana filter mulai mengurangi amplitudo sinyal. Di atas frekuensi cut-off, sinyal akan melewati filter dengan sedikit atau tanpa perubahan. Di bawah frekuensi cut-off, filter akan mulai mengurangi amplitudo sinyal secara signifikan. Frekuensi cut-off biasanya diukur dalam hertz (Hz).Gelombang Hasil Percobaan:
Hasil percobaan HPF akan tergantung pada frekuensi input yang diberikan dalam eksperimen. Berikut adalah beberapa skenario:
Frekuensi Input < Fc: Pada frekuensi ini, HPF akan memblokir sebagian besar sinyal, sehingga Vout akan memiliki amplitudo yang sangat rendah mendekati nol.
Frekuensi Input > Fc: Pada frekuensi ini, HPF akan melewatkan sebagian besar sinyal, dan Vout akan hampir sama dengan Vin, terutama pada frekuensi yang jauh di atas Fc.
Frekuensi Input ≈ Fc: Di sekitar frekuensi cut-off, HPF akan memiliki respons transien, dan Vout akan bervariasi sesuai dengan karakteristik HPF pada daerah frekuensi tersebut.
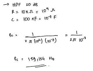
Data Perhitungan :
5. Video Penjelasan
[Kembali]
6. Download File [Kembali]
Download video percobaan [klik disini]


.png)

Komentar
Posting Komentar